| 일 | 월 | 화 | 수 | 목 | 금 | 토 |
|---|---|---|---|---|---|---|
| 1 | 2 | 3 | ||||
| 4 | 5 | 6 | 7 | 8 | 9 | 10 |
| 11 | 12 | 13 | 14 | 15 | 16 | 17 |
| 18 | 19 | 20 | 21 | 22 | 23 | 24 |
| 25 | 26 | 27 | 28 | 29 | 30 | 31 |
- 윈도우10
- pandas
- 파이썬GUI
- Windows10
- Excel
- 오피스
- 깃
- 안드로이드
- 엑셀
- windows
- win32com
- Windows11
- Outlook
- 파이썬3
- 아웃룩
- matlab
- python3
- html
- 문자열
- Android
- python
- 파워포인트
- pyqt5
- 윈도우11
- pythongui
- VBA
- office
- 파이썬
- 비주얼베이직
- git
Appia의 IT세상
[깃, Git] Git Merge commit 생성되는 경우 본문
[깃, Git] Git Merge commit 생성되는 경우

이전 포스팅에서 우리는 Git Merge에 대해서 이야기를 했습니다. 여기에서, Fast-Forward Merge를 기반으로 Merge에 대해서 이야기를 했었습니다. 물론, 앞선 포스팅에서는 Fast-Forward에 대해서 이야기 했지만, 실제 프로젝트를 진행할 경우 Fast-Forward Merge가 아닌 경우가 더욱 많습니다. 이번 포스팅에서는 그런 경우에 대해서 이야기를 해보고자 합니다.
[깃, Git]Git Merge란? (Feat. Fast-Forward Merge)
[깃, Git]Git Merge란? (Feat. Fast-Forward Merge)
[깃, Git]Git Merge란? (Feat. Fast-Forwarding Merge) 앞선 포스팅들에서는 git branch(깃 브랜치)에 대해서 살펴봤습니다. 의미아, 보기, 생성하기, 삭제하기등을 여러 포스팅에 걸쳐서 이야기를 해봤습니다.
appia.tistory.com

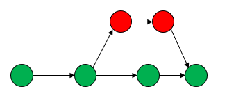
먼저, 위에서 보이는 부분과 같은 경우의 Merge가 가장 많이 발생합니다. 물론 이 과정에서 파일간의 conflict가 많이 발생합니다. 하지만, 여기에서는 이 conflict에 대해서는 이야기는 하지 않고, conflict이 없다는 전제로 이야기를 하겠습니다. 위와 같은 그림의 비슷한 예시로 만들어서 한번 살펴보겠습니다.
먼저, 하나의 폴더를 (novelExample1) 만들고, git을 초기화 하겠습니다.
$ mkdir novelExample1
$ cd novelExample1
$ git init
위의 명령어를 바탕으로 실행을 하겠습니다.

그리고, 나서, 파일을 하나 만들어서 commit을 하도록 하겠습니다. 이러한 과정을 한번 더 해서 총 2개의 commit을 생성해보도록 하겠습니다.
# commit 한 개 생성
$ touch master1.txt
$ git add master1.txt
$ git commit -m " add 1 file"
# 두 번째 commit 생성
$ touch master2.txt
$ git add master2.txt
$ git commit -m " add 2 file"


그리고, switch -c 옵션을 통해서 branch(브랜치)를 생성하면서 전환하도록 하겠습니다.
$ git switch -c "merge_B"
위의 명령어를 통해서, branch(브랜치)를 생성하면서 전환하도록 하겠습니다.

추가로 전환된 branch(브랜치)에서 파일을 하나 생성해서, commit해보도록 하겠습니다. 이러한 과정을 통해서 총 2개의 commit을 생성해보겠습니다.
# commit 한 개 생성
$ touch master_b1.txt
$ git add master_b1.txt
$ git commit -m " merge sample1"
# 두 번째 commit 생성
$ touch master_b2.txt
$ git add master_b2.txt
$ git commit -m " merge sample2"

그리고 나서, 다시 한번 master로 전환해서, 파일을 하나 추가해보도록 하겠습니다.
$ git switch master
$ git touch master3.txt
$ git add master3.txt
$ git commit -m "add master3"
위의 명령어를 진행하겠습니다.


그러면, 여기에서 master에서 다음 명령을 통해서 merge를 진행해보도록 하겠습니다.
$ git merge merge_B
위의 명령어를 실행하면 다음과 같은 화면이 나타납니다.

그리고 나서, 여기에서 commit가 같이 메시지를 입력할 수 있게 현재 기본 설정되어 있는 editor 창이 나타납니다.

여기에서 상기 화면에서 저장하고 종료하시면 다음과 같은 화면이 나타날 것입니다.

이와 같은 화면으로 merge가 진행됨을 알수 있습니다. 그럼 이 부분을 git log를 통해서 살펴보겠습니다.

위에서 보이는 바와 같이 Merge가 된 것을 알 수 있습니다. 이 부분 또한 commit으로 생성이 됩니다. 그러면, 이 부분을 gitKraken 을 통해서 한번 살펴보겠습니다.

이와 같은 방식으로 Merge를 commit이 생성이 됩니다.
[깃, Git] GitKraken 다운로드 및 설치하기(with repository)
[깃, Git] GitKraken 다운로드 및 설치하기(with repository)
[깃, Git] GitKraken 다운로드 및 설치하기(with repository) 이전에 소스트리(SourceTree)와 포크(Fork)을 다운로드 하고 설치하는 부분에 대해서 포스팅을 한 적이 있습니다. 물론, 소스트리(SourceTree)와 포크(
appia.tistory.com
이번 포스팅에서는 [깃, Git]Merge commit 생성되는 경우라는 주제로 포스팅을 해봤습니다. 실제, Fast-Forward 보다는 이와 같이 Commit이 생성되는 경우가 훨씬 많습니다. 이 부분을 바탕으로, 다양한 경우가 발생할 수 있는 데, 그중 하나가 바로 merge시에 충돌이 발생하는 경우 입니다. 이 부분에 대해서는 다음 포스팅을 통해서 이야기를 해보도록 하겠습니다.
'IT_OS_ETC.. > [OS]Windows10&11' 카테고리의 다른 글
| [깃, Git] VSCode를 이용한 쉽게 Git Merge Conflict(머지 충돌) 해결하기 (0) | 2023.11.25 |
|---|---|
| [깃, Git] Git Merge Conflict(머지 충돌) 해결하는 방법 (0) | 2023.11.24 |
| [깃, Git]Git Merge란? (Feat. Fast-Forward Merge) (0) | 2023.11.22 |
| [깃, Git] git branch(깃 브랜치)삭제, 이름 바꾸기 (0) | 2023.11.21 |
| [깃, Git] git branch(깃 브랜치)보기, 생성, 전환하기 (0) | 2023.11.20 |
